Umsiedlungsaktion 1940
Eigentlich würde dieses Kapitel ihres Lebens sogar eine gesonderte Homepage füllen. Wer genaueres über die Umsiedlungsaktion "Heim ins Reich" erfahren möchte, dem empfehle ich das Buch "Die Rückführung der Volksdeutschen" von Heinz Fieß.Auch wird darauf im Teil 2 meines Videos genauer eingegangen.
Nach Ausbruch des Zweiten Weltkriegs forderte Russland Bessarabien, das 1918 an Rumänien abgetreten werden musste, wieder zurück. Mit dem geheimen Zusatzprotokoll zum "Hitler-Stalin-Pakt" vom 23. August 1939 ist das Schicksal der Bessarabiendeutschen, die Umsiedlung ins "Großdeutsche Reich", vorgezeichnet. Eine akzeptable Alternative zur Umsiedlung gab es nicht.
⮚ Aufruf zur Umsiedlung
Mein Vater erinnerte sich noch gut daran, wie laut am Tag der Umsiedlung, am frühen Morgen des 2. Oktober 1940, im Dorf die Hunde heulten, als sie aufbrachen. Er hatte selber zwei Schäferhunde besessen und hätte fürchterlich geweint. Er war Fünfzehn, so jung, aber doch schon alt genug, um das Verlassen der Heimat voll zu erfassen. Die meisten gingen dennoch mit Hoffnung, denn die Zeit dort war unter Stalin für sie noch schwerer geworden.
Die Gepäckmitnahme wie Barmittel waren begrenzt. Schmuck und Wertsachen, Kunstgegenstände, Urkunden, Unterlagen und vieles andere mussten zurückgelassen werden. Haus, Hof, Tiere, Mobiliar, Erinnerungsstücke, Kleidung, alles haben sie damals verloren. Es gab nur noch sie selbst, ein paar Fotos, um den Hals das Schild mit Kennziffern, woher sie kamen, sowie das, was sonst als Erlaubtes und Wichtiges in die Koffer und Kisten passte.
Umsiedlungskommissionen (russisch-deutsch) schätzten den Wert des zurückgelassenen Eigentums. Dieses (geschätzte und oft umstrittene) Vermögen wurde auf die Konten der DUT (Deutsche Umsiedlungs-Treuhandgesellschaft) transferiert. Auch lieferten die Russen Öl und Getreide als Ausgleich nach Deutschland. Den Siedlern wurde versprochen, dass sie entsprechende Höfe und Grundbesitz in Deutschland erhalten sollten.
⮚Abschlussbericht über die Tätigkeit der Taxatoren Ki6
Zunächst fuhr die Familie mit ihrem Treckwagen nach Belzy (Balti), von dort mit dem Zug nach Reni. Sie gehörten zur Regionalzone Ki 6. Dort bestiegen sie Donauschiffe. Andere Orte fuhren in Gruppen mit den Wagen bis zu den Häfen Reni und Galatz. Die Donaureise dauerte drei bzw. sechs Tagen. Die großen Schiffe legten im Hafen von Prahovo und die kleineren, die das Eiserne Tor passieren konnten, in Semlin an. Meine Familie war im Lager Semlin und ihr Schiff hieß "Saturnus". In den Lagern wurden die Bessarabiendeutschen in Großzelten untergebracht und von Donauschwaben aus dem jugoslawischen Banat betreut, heißt es.
Auszüge aus verschiedenen Dokumenten:
"According to established standard of Transport Regulation #6, every Resettler has the right to hand over 50 kg of luggage [Art. 6b] per ticket. If the transport happens to be presented with a group ticket, the luggage will be reckoned according to the number of persons and the established weight of Article 6b of the Tariff Regulation. Every Resettler is allowed to a personal carry-on handbag of not more than 35 kg per adult and 15 kg per child. "
"In order to avoid that little children and such up to 10 years old keep from getting lost, I request that all parents be induced to sew into the clothing of the children up to 10 years old the resettlement number. Even if not every piece is marked, nevertheless mark as many pieces as possible so that, if it happens that a child actually gets missing, one will know where to accommodate it."
Port Reni
# Dist. ID Departure Point Overnight Point Distance Days Participants15% #/ Treks
| 19. | Ki 6 | N. Strimba | Burgeli | 42 km | 1 | 315 | 2 |
| Tuzora | 43 km | 1 | |||||
| Kischinev | 40 km | 1 | |||||
| Jekaterinovka | 59 km | 1 | |||||
| Leipzig | 32 km | 1 | |||||
| Wittenberg | 30 km | 1 | |||||
| Kubej | 44 km | 1 | |||||
| Reni | 10 km | 1 | |||||
| 300 km | 8 |
No trekking group could be organized in sub-district Ki 6. Most of the people in the rural settlements owned neither horses nor wagons. The farmers of Glueckstal were the exception. Due to the poor roads and the great distance from there to the destination, no trekking group was formed. 3159 people were evacuated in this trek. In addition, 2829 horses and 1450 wagons."
"The first train evacua"tion was from sub-district Ki 9. Then followed Ki 6, the second transport from Ki 9, Ki 7, Ki 1, Ki 8, Ki 3, the second transport from Ki 1, Ki 6, and the third transport from Ki 7. For the last transport from Ki 7, trucks were considered. Due to continuous rains, this transport could only depart with a day's delay on 18 October."
.....transport plan was established for the evacuation of Resettlers by train:
Loading Station Regional Zone People Count Arrival at Reni
02 Oct Balti Ki 6 1,000 04 Oct 8:28 AM
"The Resettlers are informed that blankets, head pillows, wash basin, eating bowl, cup, cutlery, and the like, should be packed in a small bundle which will also be easily accessible to the Resettler on board the ship. It is not possible to search for such items from the large baggage stowed on the fore-deck of the ship."
"The result of a discussion with Donau [Danube] Steamship was that three groups of ships, with a capacity of 400-1000, would be used. Moreover, the 6 largest steamships [each 1000 persons] will sail only as far as Prahova, Yugoslavia."
Quelle der Auszüge: Published by the Odessa Digital Library - 24 Feb 2002
Von den Donauhäfen Galatz, Prahovo und Semlin geht es mit dem Zug in die etwa 250 Lager im Süden des Deutschen Reiches (Österreich), wobei die Dorfgemeinschaften mit der Einweisung in verschiedene Lager zwangsläufig auseinander gerissen werden. Meine Familie fuhr mit dem Zug bis nach Villach und von dort weiter nach Wieselburg an der Erlauf. Die Ankunft in Wieselburg/Österreich war am 10.10.1940.Kurz vor Villach ereignete sich ein Zusammenstoß mit einer stehenden Lok, bei dem es zahlreiche Verletzte gab. Es war ein Sabotageakt gewesen. Eine angenehme Reise, wie Vater sagte, denn es waren Personenabteile, hatte Wasser zum Waschen, Verpflegung und medizinische Betreuung. Wenn der ernste Hintergrund nicht gewesen wäre, könnte man insgesamt vor dieser logistischen Leistung den Hut ziehen, sagte mein Vater.
⮚ Bericht eines ehemaligen Mitglieds der Umsiedlungskommission
⮚ Dokument über die Aufgabenverteilung bei der Umsiedlung
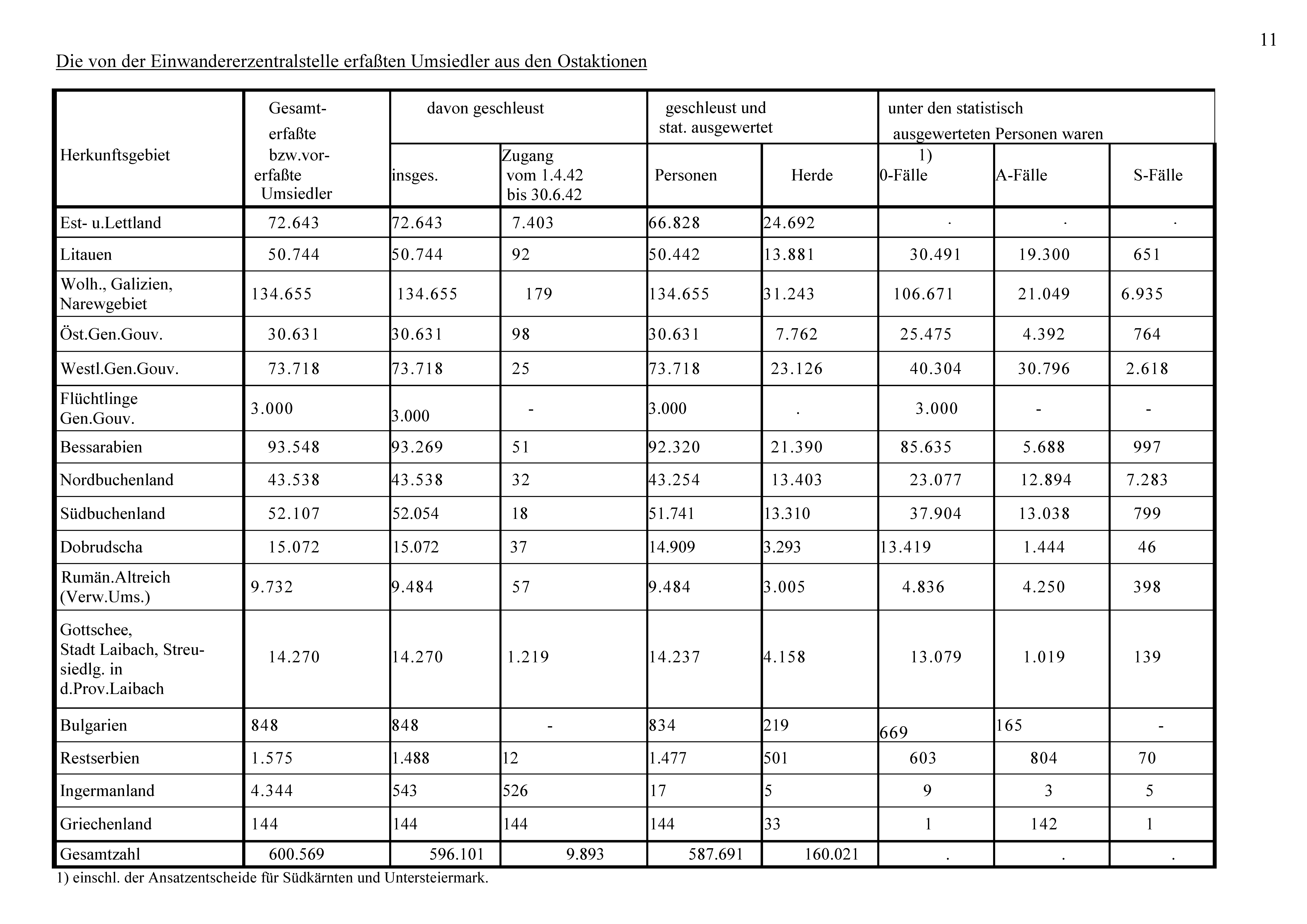
In den Zwischenlagern in Österreich wurden die Bessarabiendeutschen der "Durchschleusung" (Einteilung nach "rassischen" und politischen Gesichtspunkten) unterzogen. Der A-Fall kam zur "Umerziehung ins Altreich" oder wurde wieder nach Rumänien zurückgeschickt, welches aber im Juni 1940 von den Russen besetzt worden war. O-Fälle wurden mit "Naturalrestitution" in den neubesetzten Ostgebieten angesiedelt. Der S-Fall in der Tauglichkeit erhielt "Sonderbehandlung". "Die Behinderten wurden [in getrennten Transporten] in staatliche Einrichtungen verbracht und fielen dort den Tötungsaktionen zum Opfer." Arnulf Baumann, Die Deutschen aus Bessarabien, S. 24/25
Die Unterbringung erfolgte in großen Sälen zu mehr als hundert Personen in einem Raum, die Familien abgegrenzt gerade mal durch Vorhänge. Keine Privatsphäre und obendrein die Unsicherheit, wann sie das Lager verlassen dürfen und wo sie " neuangesiedelt" werden.
Kasernenartige Tagesabläufe und Untätigkeit belastete zusätzlich, sie waren Arbeit und Bewegung in der Natur gewohnt. Mein Vater hatte der HJ beizutreten und sein so genanntes "Pflichtjahr" im Burgenland zu absolvieren. Er bekam Uniformen verpasst, auch schwarze der SS, ohne Rangabzeichen, denn die gesamte Umsiedlungsaktion unterstand Heinrich Himmler.
Später erhielten die Umsiedler die Möglichkeit zu arbeiten und so dem tristen Lagerleben zu entfliehen. Viele starben in dieser langen Zeit im Lager, auch meine Urgroßmutter.
Vater hat von einem "Streik" im Lager erzählt, da sie endlich angesiedelt werden wollten. Sie hatten mit dem Sprung aus dem Fenster gedroht.
Ein anderer Zeitzeuge berichtete, dass schon eine Beschwerde über das schlechte und geringe Essen zu Regressionen der Nazis gegen die Umsiedler geführt hatte. Es entstanden durchaus lebensbedrohliche Situationen. Von den Umsiedlern wurde Dankbarkeit erwartet und Jammern oder Klagen waren von der SS nicht geduldet.
Auf Anordnung HImmlers vom wurde von jeder Person, auch den Kindern, die Blutgruppe bestimmt, registriert und im Arm eintätowiert . Dies führte nach Kriegsende zum Verdacht der SS-Zugehörigkeit bei den männlichen Umsiedlern, obwohl durchaus einige von ihnen freiwillig eintraten.
⮚ Anordnung Nr. 4
Über zwei Jahre blieben sie in Wieselburg/Österreich. Und dann kamen sie auch noch in die neuen Ostgebiete Polens (Generalgouvernement). Dazu auf der Seite dann mehr.
Die Wirklichkeit war also mal wieder ganz anders. Für meinen Urgroßvater Wilhelm muss es besonders schlimm gewesen sein, denn er war schon über Siebzig und hatte zuvor bereits in Podolien seine Heimat verlassen müssen (Verbannung Sibirien). Von ihm gibt es in Polen kein einziges Bild, Wieselburg war das letzte, und in Polen, als klar war, dass sie auch da wieder fliehen mussten, ist er auch verstorben.
⮚ Deutsche Familien in Neu-Strymba 1938 (Namen der "Herdvorstände)
⮚ Deutsch-sowjetische Vereinbarung über die Umsiedlung der Deutschen aus Bessarabien und der Nordbukowina von 1940
⮚ Karteikarte Erfassung EWZ
⮚ Musterbogen Deutschstämmigkeit
⮚ Statistik über die in den Ostgebieten angesiedelten Umsiedler
⮚ Statistik über die von der EWZ erfassten Umsiedler
⮚ Statistik über die Altersgliederung und Erwerbstätigkeit der Umsiedler (O- und A-Fälle)









